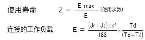
您可以计算使用寿命的近似次数。
制动器摩擦材料的使用寿命无法正确计算,因为其因齿面受力、温度、滑动速度等而异,
但可以通过以下公式计算使用寿命的近似次数。

(注意)在下降等情况下,当负荷转矩力为负时,Tℓ应为“-Tℓ”。
[符号说明]
Emax:制动器容许总工作负载(J)
E:连接的工作负载(J)
Jr:带制动器齿轮电机惯性矩(电机轴转换值)
jℓ:负载惯性矩(电机轴转换值)
n:制动器轴转速
Td:制动器额定转矩{小型系列(15W~90W)}
制动器动摩擦转矩{中型系列(0.1kW~2.2kW)}
Tℓ:负荷转矩力(电机轴转换值)
对于Emax、Jr和Td,请使用产品目录中所述的值。
*有关说明值的页面,请参阅以下产品目录材料(技术材料)。
请参阅产品目录“减速机40W~2.2kW”的技术信息部分,第E16页